今回はベテルの主力製品、サーモウェーブアナライザの測定原理、周期加熱法(オングストローム法)について解説します。
周期加熱法による熱拡散率測定はオングストロームが最初に行った方法です。1)
非常に古くからある手法です。
原理は非常にシンプルです。試料の表面から正弦波で強度変調して周期加熱します。通常はレーザによる光加熱か、ヒータによる加熱が用いられます。裏面では放射温度計や熱電対により温度変化を計測します。周期加熱波形に対して、温度変化波形は、試料の厚みが厚くなるか、試料の熱拡散率が低くなると位相の差が大きくなります。 
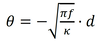
図1 周期加熱法の測定模式図
図1の位相θは、熱拡散率κ、試料厚みd、周波数fと次の関係を持ちます。![]()
単純な式から熱拡散率が求められます。
原理及び解析は単純ですが、周期加熱法は長所の多い測定法です。
長所は下記の通りです。
(1)多周期のデータを平均するためS/N比が良い。近年では計測機器の発達で、例えば、ロックインアンプ等を用いることで強力なノイズフィルタリングが可能となります。
(2)変調周波数を調整することにより、厚さや熱拡散率が異なる種々の試料に適用可能。
(3)測定に際しての温度変化が小さいため熱伝導率の温度変化が大きい物質にも適用可能。
(4)フラッシュ法に比べると熱衝撃が小さい。
等が挙げられます。
多数の情報が得られるという特徴もありカロリメータ―としても用いられます。
一方短所としては、
(1)一定の加熱をし続けるので最終的な温度上昇は比較的大きくなる場合もある。
(2)フラッシュ法に比べると測定時間が長いため環境温度を保持すべき時間が長くなる。
等が挙げられます。
当社のサーモウェーブアナライザは、周期加熱法の優れた特徴を生かし、異方性測定機能や、マッピング測定機能を付加した熱拡散率測定装置です。多くのユーザー様に材料開発や検査の分野でご使用いただいております。今後も、当社技術をご紹介して参ります。
1)A. J. Ångström, Phil. Mag., 25, 130(1863)